卤烃的亲核取代反应与消除反应是一对竞争反应。有利于S
2的反应条件,同样对E2也有利。因而在取代反应的同时常伴随消除反应。一级卤代烃主要发生S
2反应,消除反应产物较少,当β位上连有苄基或烯丙基时,则会增加E2反应速率,提高消除反应产率。例如,溴乙烷在55℃时,在乙醇溶剂中与乙醇钠作用,取代产物占99%,而烯烃只占1%;当β位上的一个氢被苄基取代后的β-苯基溴乙烷,在同样条件下的反应,取代产物只占4.4%,消除产物却占95.6%。

β-碳上连有支链的一级卤代烃和二级卤代烃,空间位阻导致S
2反应速率减慢,有利于亲核试剂对β-氢的进攻,导致消除反应增多。从电性效应考虑,试剂的亲核性强,易于发生S
2反应;试剂的碱性强,浓度大,有利于E2反应。从立体效应考虑,试剂的本积大,则不利于亲核取代反应,而有利于E2反应。由于三级卤代烃主要发生单分子反应,难发生S
2反应,如遇有强碱,则是以E2消除反应为主。
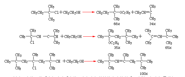
S
1与E1反应混合物之比主要取决于空间效应。卤烃中取代基越大,越有利于消除反应。例如,下面三个氯代烷的溶剂解反应,随着取代基的空间效应增大,消除产物的比例越来越大:

总这,亲核取代反应与消除反应的取向与卤烃的结构有直接关系。直链一级卤烃易进行S
2反应,不易发生消除反应,只有强碱条件下才可发生消除反应。二级卤烃及β碳上有支链的一级卤烃进行S
2的反应速度较慢,在低极性溶剂中,强亲核试剂条件下有利于S
2反应,在低极性溶剂,强碱性试剂条件下,有利于E2反应。三级卤烃难以进行S
2反应,在强碱条件下有利于E2反应。三级卤烃在无强碱存在时,得到S
1和E1混合产物。生成物的相对比率依条件决定,逐渐增大碱的浓度,将增加消除反应比率。反应趋势如下所示。

同一种微生物在不同的国家或地区常有不同的名称,这就是俗名。俗名在局部地区可以使用,但不便于交流,容易引起混乱。为在世界范围...
人是能够思想的苇草 帕斯卡尔 人只不过是一根苇草,是自然界最脆弱的东西;但他是一根能思想的苇草。用不着整个宇宙都拿起武器来才能...
1 目的 规范TENSOR 27红外光谱仪的操作程序,正确使用仪器,保证设备安全和检测的顺利进行。 2 使用环境 电源电压:85~265V,47~65Hz 温度范...
以下内容转载自小木虫 哥特复兴VS [1]Han-Dong Sun,Yi-Ming Shi:LCUV-Guided Isolation and Structure Determination of Lancolide E: A Nortriterpenoid with a Tetracyclo [...