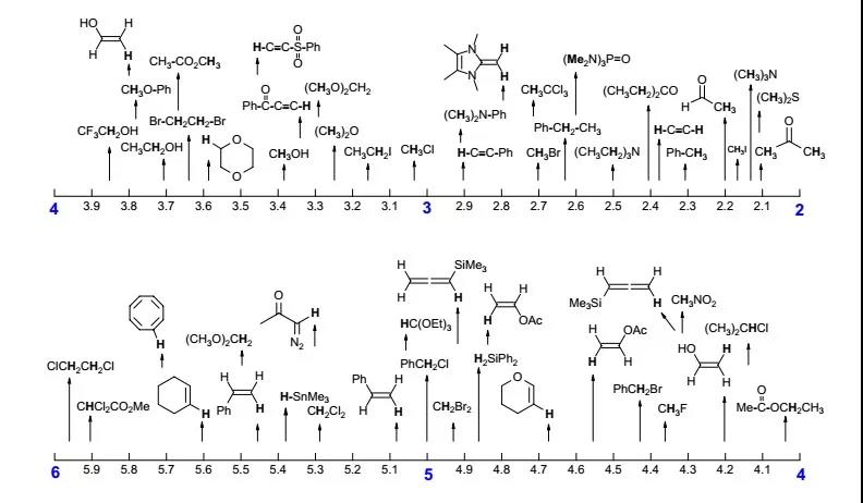
一、HNMR化学位移




二、活泼氢化学位移(CDCl3)

三、CNMR化学位移


环己烷(CYH)、环己酮(CYC)、二丙酮醇(DAA)、四氢呋喃(THF)、二甲基甲酰胺(DMF)、二甲亚砜(DMSO)、甲基丙烯酸甲酯(MMA). (A)酯类 ESTERS 乙酸甲酯 MA...
1 什么是扫描电子显微镜(SEM) Scanning Electron Microscope(SEM)扫描型电子显微镜是由真空系统、 高压电源、高灵敏度增幅器获取样品表面图像的...
Two-dimensional thin-layer chromatography in the analysis of secondary plant metabolites ukas z Ciela , Monika Waksmundzka-H ajnos , Drugs, derived from medicinal plants, have been ...
量程的调节 调节量程时,如果要从大体积调为小体积,则按照正常的调节方法,逆时针旋转旋钮即可;但如果要从小体积调为大体积时,则...