读懂天然产物系列——HiFSA
发布日期:2017-12-24 21:27
来源:网 络
作者:admin
浏览次数:
以下资料转自小木虫,由6902765撰写
【文献】:
Napolitano J.G., Lankin D.C., Graf T.N., Friesen J.B., Chen S.N., Mcalpine J.B., Oberlies N.H., Pauli G.F., HiFSA Fingerprinting Applied to Isomers with Near-Identical NMR Spectra: The Silybin/Isosilybin Case, 2013, 78, 2827-2839.
Imai A., Lankin D.C., Nikolić D., Ahn S., Breemen R.B., Farnsworth N.R., Mcalpine J.B., Chen S.N., Pauli G.F., Cycloartane Triterpenes from the Aerial Parts of Actaea racemosa, 2016, 79, 541-554.
引言:
由于文献主要涉及作者Guido F. Pauli. 先简单介绍下,Pauli教授课题组在利用NMR技术对中药有效成分的定向分离、定量分析等领域具有雄厚的实力和研究基础。Guido F. Pauli美国伊利诺伊大学芝加哥分校药学院教授,药学博士,Guido F. Pauli教授主要从事天然产物化学、波谱学、分析化学和生药学等学科的研究,在定量核磁共振技术通用分析法学(qHNMR)、生物化学计量学(Biochemometrics)、核磁共振质子谱迭算全相关信息分析法(HiFSA)、新药开发及逆流色谱技术等领域均有建树,特别是作为定量核磁共振技术通用分析法学(qHNMR)之开拓者,促进了该技术在全球范围包括制药、化学产品、营养保健品及食品等领域质量控制中的应用。有兴趣的可以关注他的ResearchGate. 链接:https://www.researchgate.net/profile/Guido_Pauli
【研究内容】
从植物水飞蓟中分离得到的水飞蓟宾A(1),水飞蓟宾B(2),异水飞蓟宾A(3),异水飞蓟宾B(4)具有完全一致的分子量以及几乎完全一致的氢谱和碳谱数据,且一般的核磁(400-600MHz)所测得的质子化学位移差值(Δδ)很难超过0.01ppm,所以我们就一直认为氢谱和碳谱很难区分这四种结构。作者Pauli却用核磁共振质子谱迭算全相关信息分析法(1H iterative Full Spin Analysis, HiFSA)巧妙的将四种化合物区分开来。
【研究思路】
为了说明NMR分析(主要是氢谱,当然碳谱也可以)可以区分结构非常相近,谱图非常相似的同分异构体,作者将该研究工作分为4个步骤:
1、从自然界中分离得到高纯度的化合物1-4;
2、明确归属4个异构体的氢谱和碳谱;
3、通过HiFSA得出4个化合物的指纹识别氢谱以及相互之间的对比确定各个化合物;
4、在含有这些异构体的复杂混合物的定量核磁分析中如何应用这些指纹识别氢谱。
【结合HiFSA区分4个异构体】
1、我们需要将实验的氢谱导入到PERCH NMR 软件里来进行分析,如图所示将这个过程简单总结为4步(此处选择H-8″为例),通过这4步对NMR参数进行不断的设置和调整,最终使模仿的结果和实验数据几乎完全一致,标注差<0.1%。

按照这个步骤得到4个异构体的指纹识别氢谱,确定了氢的精确化学位移以及耦合常数,也通过DEPTQ, HSQC, HMBC确定了碳的类型以及化学位移,如图所示。

2、至此4个异构体的指纹NMR已经通过HiFSA生成,我们就可以通过相互之间的比较来确定4个异构体,如图所示,通过这些红色标记的ΔδH 以及ΔδC 就可以区分4个异构体。

是不是觉得很神奇?很小的化学位移差值就可以将具有几乎完全一致氢谱的化合物区别开来,自然界中很多这样的化合物,比如hydnocarpin 和hydnocarpin-D[2], murisolin isomers[3], amphidinol 3[4], macrocyclic dioxatetralactones[5]等都具有很相似的氢谱,你是否也有这样的情况,可以考虑下这种方法啊!
如果你认为HiFSA就这点应用,你就错了,他在区分差向异构体,确定化合物的相对构型等也有一定优势,这不最近Pauli又在J.N.P上给大家阐述了HiFSA对于Cycloartane triterpenes结构确定及相对构型的应用[6]。
【研究内容】
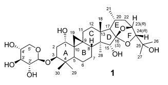
从植物Actaea racemosa的地上部分分到9个Cycloartane triterpenes,结合HiFSA将新化合物1的结构和相对构型确定,并且将作为差向异构体的不同糖单元区分开来。

【区分作为差向异构体的木糖和阿拉伯糖】
木糖(xylose)和阿拉伯糖(arabinose)为Cycloartane triterpene glycosides中的主要糖单元,由于C-4′的手性不同,会影响其他位置的氢化学位移,尤其对5位的氢影响最大,通过5位两个质子的位移差以及是否有3J OH-CH耦合发生可以确定糖单元。但是由于溶剂溶剂、空间屏蔽、构象改变等因素会对位移差造成影响,此时峰形及耦合常数更适合判断糖单元类型,HiFSA的优势就来了,如图所示,就可以很好区别他们。


注:红色(S)代表HiFSA模仿信号;蓝色(O)代表实验信号
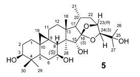
【C-23, 24的相对构型确定】
作者通过HiFSA对化合物1和5进行模仿对比,对于信号H-17,Me-21, H-22α, H-22β,并未发现不一致,然而对于信号H-23, 24,发现耦合常数之间的差异,通过这些差异将化合物1与已知化合物5对比,确定了化合物1的C-23, 24的相对构型23R, 24R,并用ROESY相关进一步证明。

Comparison of the 1H NMR signals for 5 (top) and 1 (bottom) in rings E and F, respectively


注:在化合物5中,H-23,dd, J = 9.8, 2.3 Hz; H-24, s.
【总结】
在很多时候,我们解析氢谱时,由于溶剂效应,温度,构象改变,空间效应等很多因素导致氢谱峰出现很多重叠不规则现象,给我们解析结构带来很多不便。利用核磁共振质子谱迭算全相关信息分析法(HiFSA)能够精确模仿这些谱图,给我们呈现出细小的差别,正是这些微小差别使我们顺利解析出结构。
如果大家感兴趣,可以参考以下文献来读取所需信息。