
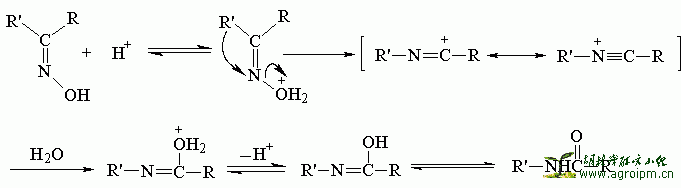
在酸作用下,肟首先发生质子化,然后脱去一分子水,同时与羟基处于反位的基团迁移到缺电子的氮原子上,所形成的碳正离子与水反应得到酰胺。

迁移基团如果是手性碳原子,则在迁移前后其构型不变,例如:


[1] E. Beckmann, Ber., 1886, 19,988; 1887, 20, 1507.
[2] W. Z. Heldt, Org. Reactions, 1960, 11, 1~156.
[3] J. Kenyonn, A. Campbell, J. Chem. Soc., 1946, 25.
[4] J. Kenyonn, D. P. Young, J. Chem. Soc., 1941, 263.
Two-dimensional thin-layer chromatography in the analysis of secondary plant metabolites ukas z Ciela , Monika Waksmundzka-H ajnos , Drugs, derived from medicinal plants, have been ...
环己烷(CYH)、环己酮(CYC)、二丙酮醇(DAA)、四氢呋喃(THF)、二甲基甲酰胺(DMF)、二甲亚砜(DMSO)、甲基丙烯酸甲酯(MMA). (A)酯类 ESTERS 乙酸甲酯 MA...
量程的调节 调节量程时,如果要从大体积调为小体积,则按照正常的调节方法,逆时针旋转旋钮即可;但如果要从小体积调为大体积时,则...
1 什么是扫描电子显微镜(SEM) Scanning Electron Microscope(SEM)扫描型电子显微镜是由真空系统、 高压电源、高灵敏度增幅器获取样品表面图像的...