| 名称 | 分子量 | 比重(d204) | 熔点(℃) | 沸点(℃) | 溶解度 |
| 肉桂酸 | 148.17 | 1.2475 | 135-136 | 300 | 0.0418 |
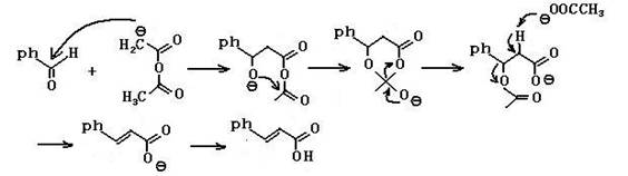
| 苯甲醛 | 106.13 | 1.0415(15℃) | -26 | 178.1 | 0.3 |
| 无水醋酸钾 | 98.15 | 1.57(25℃) | 292 | 253(20℃) | |
| 乙酐 | 102.09 | 1.0820 | -73.1 | 140.0 | 12(冷) |
| 苯乙烯 | 104.16 | 0.9060 | -30.63 | 145.2 | 不溶 |









1 什么是扫描电子显微镜(SEM) Scanning Electron Microscope(SEM)扫描型电子显微镜是由真空系统、 高压电源、高灵敏度增幅器获取样品表面图像的...
环己烷(CYH)、环己酮(CYC)、二丙酮醇(DAA)、四氢呋喃(THF)、二甲基甲酰胺(DMF)、二甲亚砜(DMSO)、甲基丙烯酸甲酯(MMA). (A)酯类 ESTERS 乙酸甲酯 MA...
Two-dimensional thin-layer chromatography in the analysis of secondary plant metabolites ukas z Ciela , Monika Waksmundzka-H ajnos , Drugs, derived from medicinal plants, have been ...
量程的调节 调节量程时,如果要从大体积调为小体积,则按照正常的调节方法,逆时针旋转旋钮即可;但如果要从小体积调为大体积时,则...